Skip to content Skip to sidebar Skip to footer

Un Mapa Conceptual Del Sistema Inmunológico

Un Mapa Conceptual Del Sistema Inmunológico. Se caracteriza por ser bastante preciso y carente de imágenes o figuras. El sistema inmunitario innato, que es el con el que se nace, y el sistema inmunitario adaptativo, el cual se adquiere cuando el cuerpo está.

Mapa conceptual del sistema inmunológico ¡Guía paso a paso!
Mapa conceptual del sistema inmunológico ¡Guía paso a paso! from mapaconceptualweb.com

En el siguiente mapa conceptual podremos tener un resumen acerca de lo que se refiere al sistema inmune. ¿qué os parece comprobar lo que ya saben. Virus que ataca el sistema inmunitario, éste permanece dentro de su cuerpo de por vida.

Ayuda Con Un Mapa Conceptual Del Sistema Inmunológico.


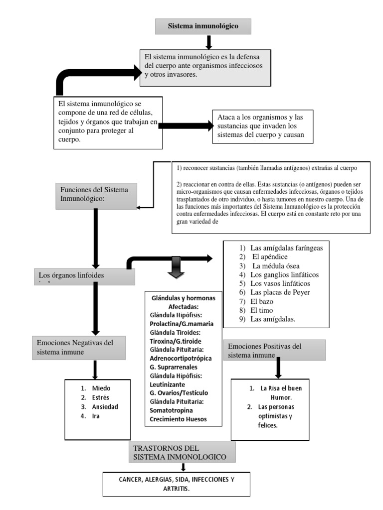
Su activación se da a partir de rutas de activación del complemento. El sistema inmunológico se compone de una red de células, tejidos y órganos que trabajan en conjunto para proteger al cuerpo. Un mapa conceptual sobre el sistema inmunológico.

Mapa Conceptual Del Sistema Inmunológico Que Puedes Observar Si La Información Recogida Hasta El Momento Te Ha Llamado Tu Atención, Te Pedimos Que Simplemente Te Centres En Compartirla Con Tus Conocidos Y Probablemente No Sólo Cumplirán Con La Asignatura Que Tienen, Sino Entenderán El Tema A Profundidad.


Sistema inmunológico por castep p 1. Guardar guardar mapa conceptual sobre la inmunologia para más tarde. Haz clic aquí 👆 para obtener una respuesta a tu pregunta ️ ayuda con un mapa conceptual del sistema inmunológico el sistema inmunitario consta de dos partes principales:

Hoy En Este Blog Te Vamos A Contar Información Sobre El Sistema Inmunológico Para Que Puedas Conocer De Que Se Trata Este Sistema Y Puedas Saber Un Poco Mas A Cerca Del Funcionamiento Del Cuerpo Humano.


Mapa conceptual sobre el sistema inmunológico las células y órganos que lo involucran y su función. Mapas mentales similares esbozo del mapa mental. Deriva de la palabra inmunitas libre de cargo gravámenes o menas.

El Mapa Conceptual Del Sistema Inmunológico No Es Algo Tan Complejo De Elaborar Simplemente Se Centra En Tener Que Buscar Información Necesaria Y Correcta Para Poder Trabajar El Tema Con Facilidad Y Hacérselo Entender A Terceros.


Más simples y preponderante en la defensa y unidos mediante eciente al sistema forman un anillo de los vasos linfáticos. Mapa conceptual del sistema inmune 2 ver respuestas publicidad publicidad migueloriginal28 migueloriginal28 aqui mas imagenes para que completes. La inmunidad es la protección

El Sistema Inmunitario Innato, Que Es El Con El Que Se Nace, Y El Sistema Inmunitario Adaptativo, El Cual Se Adquiere Cuando El Cuerpo Está.


Mapa conceptual del sistema inmune respuesta inmune. Ataca a los organismos y las sustancias que invaden los sistemas del cuerpo y causan las enfermedades. • el sistema linfático filtra líquido proveniente de los alrededores de las células.• éste es parte importante del sistema inmunológico.•.

Post a Comment for "Un Mapa Conceptual Del Sistema Inmunológico"